count: [2018-05-02] [Close]
While most of 100 million degree hot plasma is confined in the core of a fusion tokamak device, there are always some runaway of particles, which will be diverted to a target component, called divertor.
As the Expendable in tokamak device, the divertor braves 20 – 40 keV heat flux from the plasma core, and at the same time, it also baffles the neutrals and screens impurities.
Its extremely demanding role poses one of the grand challenges for fusion scientists to control the heat flux and erosion at the divertor target plates for high performance, steady-state plasma operation.
This is especially true if scientists plan to design and operation of next-step high-power steady-state fusion devices. They need to develop a divertor solution for handling power exhaust, while ensuring acceptable divertor target plate erosion, which necessitates access to divertor detachment at relative low main plasma densities compatible with current drive and high plasma confinement.
Recently, scientists of EAST divertor physical design group in the Institute of Plasma Physics, Hefei Institutes of Physical Science proposes a new promising advanced divertor design, coupling divertor closure and advanced magnetic configuration.
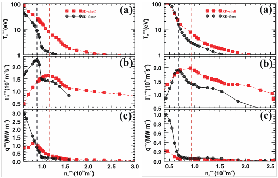
This new design has firstly been modeled and verified on DIII-D, tokamak facility in General Atomics (or GA), US. The Scrape-Off Layer Plasma Simulation (SOLPS) was carried out to examine the effect of divertor closure on detachment with the normal single null divertor (SD) configuration, as well as one of the advanced divertor configurations, such as X-divertor (XD) respectively.
The SOLPS modeling for a high confinement plasma in DIII-D shows that increasing divertor closure with SD reduces the upstream separatrix density at the onset of detachment from 1.18×1019m-3 to 0.88×1019m-3.
Moreover, it was also found that coupling the divertor closure with XD further promotes the onset of divertor detachment at a still lower upstream separatrix density, down to the value of 0.67×1019m-3, thus, showing that divertor closure andadvanced magnetic configuration can work synergistically to facilitate divertor detachment.
This progress on advanced divertor is expected to provide reference for EAST lower divertor upgrade and China Fusion Engineering Test Reactor (CFETR) divertor design. As a part of the cooperation between ASIPP and GA, DIII-D has offered strong support in verification.
This work is supported by China national and local programs (National Natural Science Foundationof China; National Key Research and Development Programof China; Key Research Program of Frontier Sciences, CAS; National Magnetic Confinement Fusion Science Program of China; Scientific Research Grant of Hefei Science Center of Chinese Academy of Sciences; K.C. Wong Education Foundation; and also funded by U.S. Department of Energy (DOE). (YANG Ying reports)

The electron temperature, parallel particle flux density and heat flux density at the outer striking point are plotted as a function of the separatrix density at outer middle plane for the four divertor configurations.